
The Larrousse LC90 was known to Lola as the T90/30 and was the fourth F1 design Lola built for the Larrousse team, the other designs were the LC87 (T87/30), the LC88 (T88/30) both of which used the Ford Cosworth DFZ 3.5 V8 while the LC89 (T89/30) used the Lamborghini V12 as did the new car. This year the team changed name from Equipe Larrousse to ESPO Larrousse, ESPO was a Japanese company that had bought a 50% stake in Larrousse, part of the deal was taking Aguri Suzuki as one of its drivers.
The T90/30 was an evolution of the T89/30 carried out by designer Chris Murphy. The main changes were new radiators, new front wing layout, new exhaust system and new engine air duct. A major weight-saving programme was undertaken with lighter gearbox internals to bring the chassis down to the 500kgs weight limit. The wheelbase was a few centimeters longer to allow for increased fuel capacity as the Lamborghini engine was thirsty causing potential problems at tracks like Imola ans Montreal.
The over-riding problem during the 1990 season was reliability with twenty-two retirements from thirty-two starts with engine and gearbox woes frequently hampering the team. Despite this the ESPO Larrousse team had its best season in the Constructors Championship scoring eleven points to finish sixth out of an incredible nineteen manufacturers. The highlight of the year was Aguri Suzuki's third place in his home Grand Prix at Suzuka.
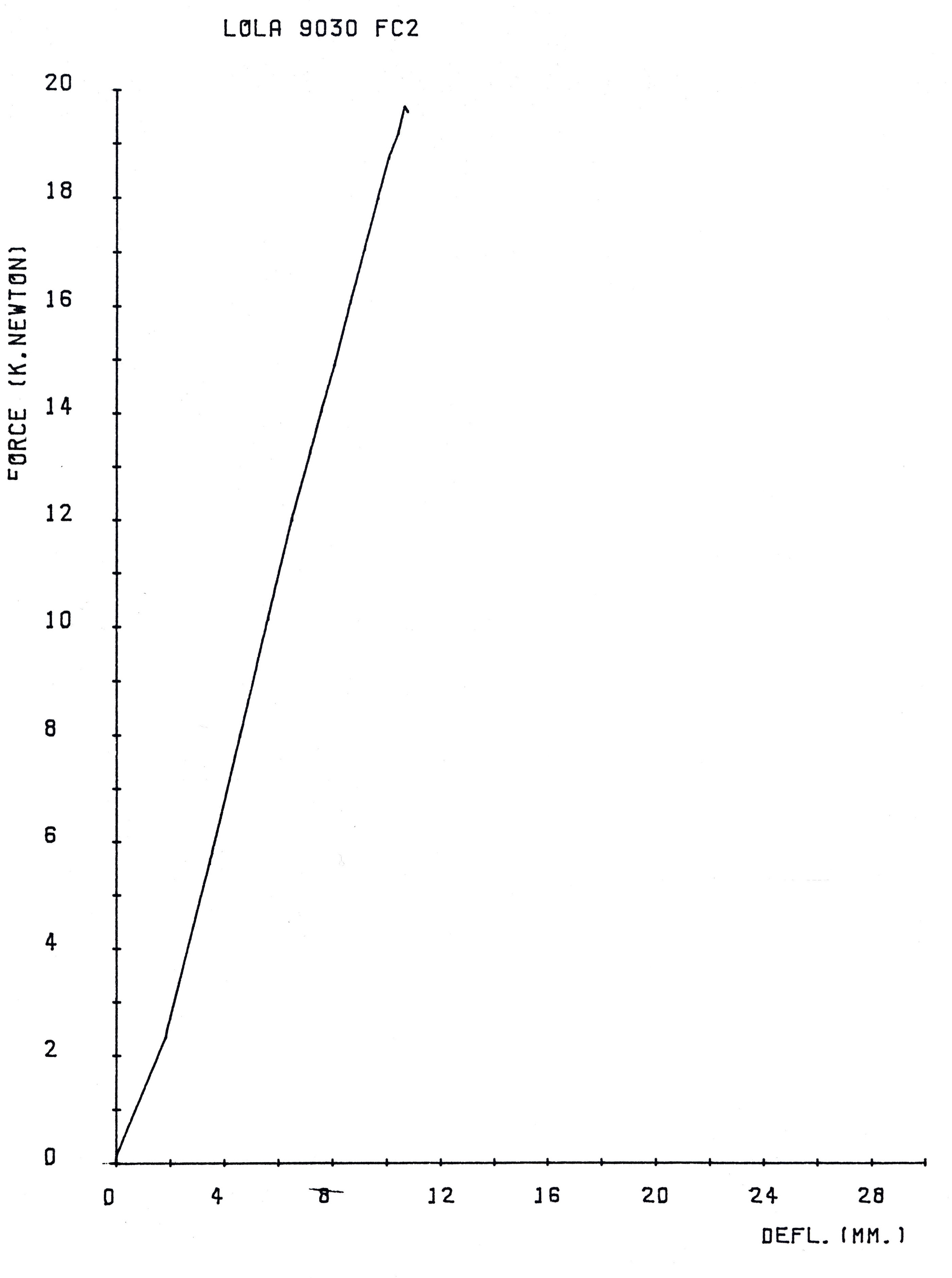
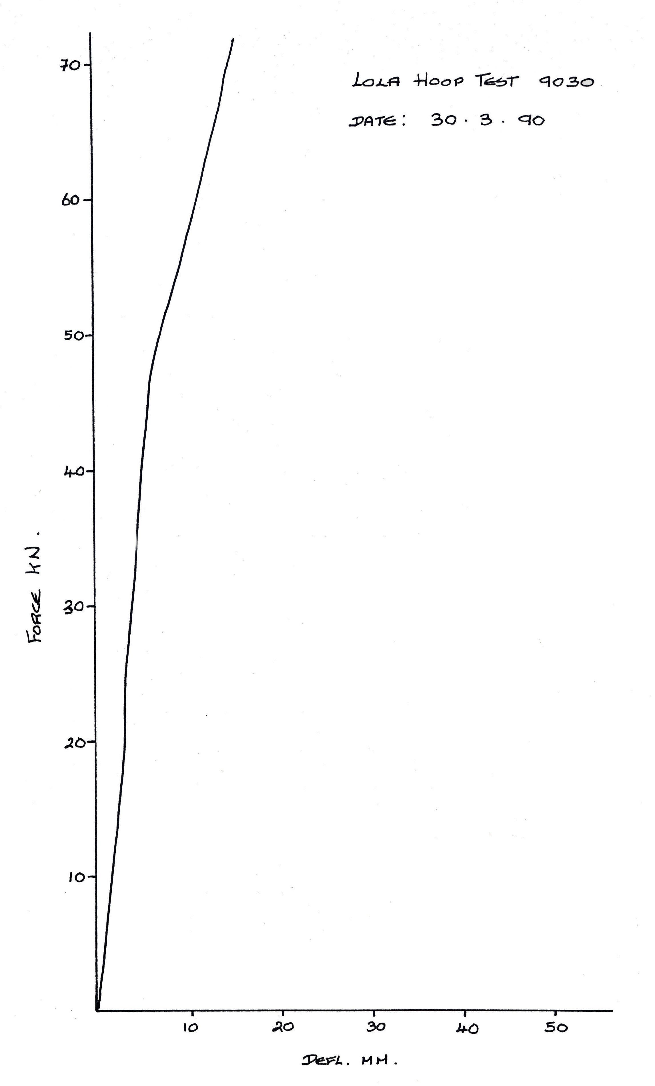
Year(s) of Construction: 1990
Total Built: 4

GRAND PRIX |
DATE |
CHASSIS |
DRIVER |
QUAL |
RACE |
|---|---|---|---|---|---|
| USA - Phoenix | 11th March | Lola LC89/05 Lola LC89/03 |
Éric Bernard Aguri Suzuki |
15th 18th |
8th DNF (53 laps Brakes) |
| Brazil - Interlagos | 25th March | Lola LC89/05 Lola LC89/03 |
Éric Bernard Aguri Suzuki |
11th 18th |
DNF (13 laps Gearbox) DNF (24 laps Suspension) |
| San Marino – Imola | 13th May | Lola LC90/03 Lola LC90/02 |
Éric Bernard Aguri Suzuki |
13th 15th |
DNF (56 laps Gearbox) DNF (17 laps Clutch) |
| Monaco – Monte Carlo | 27th May | Lola LC90/01 Lola LC90/02 |
Éric Bernard Aguri Suzuki |
24th 15th |
6th DNF (11 laps Ignition) |
| Canada - Circuit Gilles Villeneuve | 10th June | Lola LC90/02 Lola LC90/03 |
Éric Bernard Aguri Suzuki |
23rd 18th |
9th 12th |
| Mexico - Hermanos Rodríguez | 24th June | Lola LC90/04 Lola LC90/02 |
Éric Bernard Aguri Suzuki |
25th 19th |
DNF (12 laps Spun off) DNF (11 laps Accident) |
| France - Paul Ricard | 8th July | Lola LC90/02 Lola LC90/03 |
Éric Bernard Aguri Suzuki |
11th 14th |
8th 7th |
| Great Britain - Silverstone | 15th July | Lola LC90/02 Lola LC90/03 |
Éric Bernard Eric Bernard |
12th 13th |
DNF (39 laps Engine) DNF (46 laps Engine) |
| Germany - Hockenheimring | 29th July | Lola LC90/04 Lola LC90/05 |
Éric Bernard Aguri Suzuki |
11th 12th |
DNF (39 laps Fuel pressure) DNF (35 laps Clutch) |
| Hungary - Hungaroring | 12th August | Lola LC90/04 Lola LC90/05 |
Éric Bernard Aguri Suzuki |
12th 19th |
6th DNF (37 laps Engine) |
| Belgium – Spa Francorchamps | 26th August | Lola LC90/04 Lola LC90/05 |
Éric Bernard Aguri Suzuki |
15th 11th |
9th DNF (0 laps Accident) |
| Italy - Monza | 9th September | Lola LC90/04 Lola LC90/05 |
Éric Bernard Aguri Suzuki |
13th 18th |
DNF (10 laps Clutch) DNF (36 laps Electrics) |
| Portugal - Estoril | 23rd September | Lola LC90/04 Lola LC90/05 |
Éric Bernard Aguri Suzuki |
10th 11th |
DNF (24 laps Gearbox) DNF (58 laps Accident) |
| Spain - Jerez | 30th September | Lola LC90/04 Lola LC90/05 |
Éric Bernard Aguri Suzuki |
18th 15th |
DNF (20 laps Clutch) 6th |
| Japan - Suzuka | 21st October | Lola LC90/04 Lola LC90/05 |
Éric Bernard Aguri Suzuki |
16th 9th |
DNF (24 laps Engine fire) 3rd |
| Australia - Adelaide | 4th November | Lola LC90/04 Lola LC90/05 |
Éric Bernard Aguri Suzuki |
23rd 24th |
DNF (21 laps Gearbox) DNF (6 laps Transmission) |
















